Номер 515 - ГДЗ Алгебра 8 класс. Мерзляк, Полонский. Учебник. Страница 132

Вернуться к содержанию учебника

Упражнения §16. Страница 132

512 513 514 515 516 517 518

Вопрос

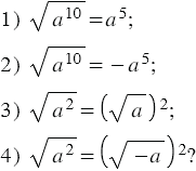
При каких значениях выполняется равенство:

Подсказка

Ответ


Вернуться к содержанию учебника