Номер 519 - ГДЗ Алгебра 8 класс. Мерзляк, Полонский. Учебник. Страница 132

Вернуться к содержанию учебника

Упражнения §16. Страница 132

516 517 518 519 520 521 522

Вопрос

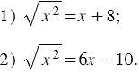
Решите уравнение:

Подсказка

Ответ


Вернуться к содержанию учебника