Номер 541 - ГДЗ Алгебра 7 класс. Мерзляк, Полонский. Учебник. Страница 99

Вернуться к содержанию учебника

Страница 99

538 539 540 541 542 543 544

Вопрос

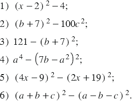
Представьте в виде произведения выражение:

Подсказка

Ответ


Вернуться к содержанию учебника