Номер 536 - ГДЗ Алгебра 7 класс. Мерзляк, Полонский. Учебник. Страница 98

Вернуться к содержанию учебника

Страница 98

533 534 535 536 537 538 539

Вопрос

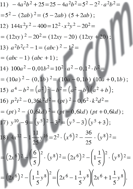
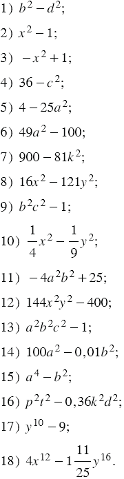
Разложите на множители:

Подсказка

Ответ


Вернуться к содержанию учебника