Номер 537 - ГДЗ Алгебра 7 класс. Мерзляк, Полонский. Учебник. Страница 99

Вернуться к содержанию учебника

Страница 99

534 535 536 537 538 539 540

Вопрос

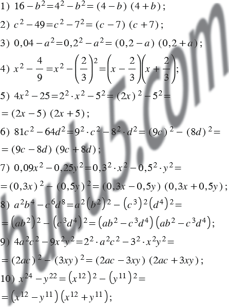
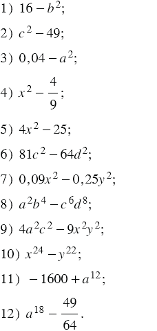
Разложите на множители:

Подсказка

Ответ


Вернуться к содержанию учебника