Номер 547 - ГДЗ Алгебра 7 класс. Мерзляк, Полонский. Учебник. Страница 100

Вернуться к содержанию учебника

Страница 100

544 545 546 547 548 549 550

Вопрос

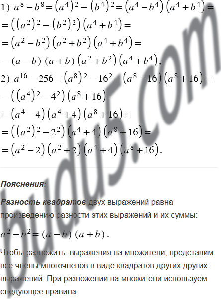
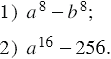
Разложите на множители:

Подсказка

Ответ


Вернуться к содержанию учебника