Номер 509 - ГДЗ Алгебра 7 класс. Мерзляк, Полонский. Учебник. Страница 94

Вернуться к содержанию учебника

Страница 94

506 507 508 509 510 511 512

Вопрос

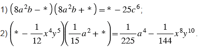
Подставьте вместо звездочек такие одночлены, чтобы выполнялось тождество:

Подсказка

Вспомните:

  1. Чему равно произведение разности двух выражений и их суммы.
  2. Степень с натуральным показателем.
  3. Свойства степени с натуральным показателем.
  4. Что называют одночленом.
  5. Умножение обыкновенных дробей.

Ответ


Вернуться к содержанию учебника