Номер 508 - ГДЗ Алгебра 7 класс. Мерзляк, Полонский. Учебник. Страница 94

Вернуться к содержанию учебника

Страница 94

505 506 507 508 509 510 511

Вопрос

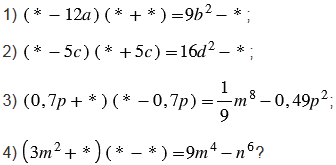
Какие одночлены надо поставить вместо звездочек, чтобы выполнялось тождество:

Подсказка

Вспомните:

  1. Чему равно произведение разности двух выражений и их суммы.
  2. Степень с натуральным показателем.
  3. Свойства степени с натуральным показателем.
  4. Что называют одночленом.
  5. Свойства действий с рациональными числами.

Ответ


Вернуться к содержанию учебника