Вернуться к содержанию учебника
1. В ведре 8 л молока, а в кувшине 3 л.
На сколько меньше литров молока в кувшине, чем в ведре?
В нашем справочнике повтори темы "Литр" и "Больше. Меньше".
Выберите год учебника
Стр. 61 учебника 2011-2022:
2.
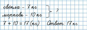
1) В столовой на день заготовили 7 кг свёклы, а моркови на 3 кг больше. Сколько килограммов моркови заготовили?
2) В столовой на день заготовили 7 кг свёклы и
кг моркови. Сколько всего килограммов овощей заготовили?
Стр. 61 учебника 2023-2024:
2.
1) Для приготовления сока на зиму заготовила 7 кг сливы, а вишни на 3 кг больше. Сколько килограммов вишни заготовили?
2) Для приготовления сока на зиму заготовила 7 кг сливы и
кг вишни. Сколько всего килограммов ягод заготовили семья?
В нашем справочнике повтори темы "Килограмм" и "Больше. Меньше".
Стр. 61 учебника 2011-2022:
Решение
1) Сколько килограммов моркови заготовили?

2) Сколько всего килограммов овощей заготовили?

______________________________________________________________________________
Пояснение
к задаче 1
На 3 больше. Сложение. Знак плюс.
7 + 3 = 10 (кг)
к задаче 2
Сколько всего? Сложение. Знак плюс.
7 + 10 = 17 (кг)
Стр. 61 учебника 2023-2024:
Решение
1) Сколько килограммов вишни заготовили?
7 + 3 = 10 (кг)
Ответ: 10 кг вишни заготовили.
2) Сколько всего килограммов ягод заготовили?
7 + 10 = 17 (кг)
Ответ: 17 кг ягод заготовили.
Пояснение
к задаче 1

На 3 больше. Сложение. Знак плюс.
7 + 3 = 10 (кг)
к задаче 2

Сколько всего? Сложение. Знак плюс.
7 + 10 = 17 (кг)
3.
1) У Юры было 5 больших солдатиков и 3 маленьких.
Сколько всего солдатиков было у Юры?
2) У Юры было 8 солдатиков. Он подарил другу 2 солдатика.
Сколько солдатиков осталось у Юры?
В нашем справочнике повтори темы "Вычитание" и "Сложение".
Решение
1. Сколько всего солдатиков было у Юры?

2. Сколько солдатиков осталось у Юры?

_________________________________________________________________________________
Пояснение
к задаче 1
Сколько всего? Сложение. Знак плюс.
5 + 3 = 8 (с.)
к задаче 2
Сколько осталось? Вычитание. Знак минус.
8 - 2 = 6 (с.)
4. 
В нашем справочнике повтори тему "Вычитание", обрати внимание на состав числа 8, состав числа 9, состав числа 10.
5. Определи, как составлена таблица. Выбери недостающую картинку.

Сколько всего прибавили? всего вычли?
| 9 + 1 + 8 | 11 - 1 - 7 | 7 + 3 + 5 |
| 2 + 8 + 1 | 12 - 2 - 7 | 4 + 6 + 3 |
В нашем справочнике повтори темы "Вычитание" и "Сложение".
Вычисли. Найди лишний пример:
1 + 5 - 2
5 + 3 - 4
3 + 6 - 5
1 + 2 + 1
2 + 8 - 3
5 + 5 - 6
Повтори состав числа.
Решение
1 + 5 - 2 = 4
5 + 3 - 4 = 4
3 + 6 - 5 = 4
1 + 2 + 1 = 4
2 + 8 - 3 = 7 (лишний, так как в других примерах одинаковый ответ 4)
5 + 5 - 6 = 4
Пояснение
1 + 5 - 2 = 6 - 2 = 4
5 + 3 - 4 = 8 - 4 = 4
3 + 6 - 5 = 9 - 5 = 4
1 + 2 + 1 = 3 + 1 = 4
2 + 8 - 3 = 10 - 3 = 7
5 + 5 - 6 = 10 - 6 = 4
Вернуться к содержанию учебника