Вернуться к содержанию учебника
Сколько девочек ... ?
В нашем справочнике повтори состав числа 10.
14.
11 12 | 17 14 | 13 15 |
12 9 | 18 17 | 20 12 |
19 16 | 8 13 | 16 18 |
В нашем справочнике повтори тему "Больше. Меньше" и числа от 11 до 20.
15. На диске записано 10 песен для взрослых, а для детей на 4 меньше.
В нашем справочнике повтори тему о составе числа 10 и о числах от 11 до 20.
Решение
Задача 1
Сколько песен для детей записано?

Задача 2
Сколько всего песен на этом диске?

________________________________________________________________________________________________________
Пояснение
К задаче 1
на 4 меньше. Вычитание. Знак минус.
К задаче 2
Сколько всего? Сложение. Знак плюс.
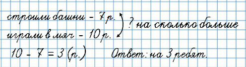
16. На пляже строили башни из песка 7 ребят, а играли в мяч 10 ребят.
Поставь к условию разные вопросы, чтобы задачи решались так:

Решение
Задача 1
На пляже строили башни из песка 7 ребят, а играли в мяч 10 ребят.
Сколько всего ребят было на пляже?

Задача 2
На пляже строили башни из песка 7 ребят, а играли в мяч 10 ребят.
На сколько больше ребят играли в мяч, чем строили башни из песка?

Пояснение
К задаче 1
Сколько всего? Сложение.
Знак плюс.
10 + 7 = ?
10 - это 1 дес.
7 - это 7 ед.
1 дес. + 7 ед. = 1 дес. 7 ед.
1 дес. 7 ед. = 17
10 + 7 = 17 (р.)
К задаче 2
Больше или меньше. Чтобы сравнить два числа, нужно из большего числа нужно вычесть меньшее. Вычитание.
Знак минус.
10 - 7 = ?
10 - это 7 и 3
10 - 7 - 3 (р.)
17. В одной строке запиши эти числа в порядке уменьшения, а в другой — в порядке увеличения.

18. Ответ примера показывает номер места на карусели.
Найди билет на свободное место.

В нашем справочнике повтори тему "Сложение".
Вернуться к содержанию учебника