Вернуться к содержанию учебника
Выберите год учебника
№2.433 учебника 2023-2024 (стр. 102):
Углы АОВ и ВОС вместе составляют развернутый угол АОС. При этом угол АОВ в
раза больше угла ВОС. Найдите градусные меры углов АОВ и ВОС. Выполните построение этих углов с помощью транспортира.
№2.433 учебника 2021-2022 (стр. 97):
Фермеру надо вспахать участок земли размером
га. До обеда он вспахал
этого участка. Сколько гектаров земли вспахал фермер до обеда?
№2.433 учебника 2023-2024 (стр. 102):
Вспомните:
№2.433 учебника 2021-2022 (стр. 97):
Вспомните:
№2.433 учебника 2023-2024 (стр. 102):







№2.433 учебника 2021-2022 (стр. 97):

Ответ: 1 га земли вспахал фермер до обеда.
Пояснения:
Чтобы найти дробь от числа, нужно умножить число на эту дробь.
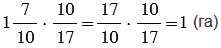
Фермеру надо вспахать участок земли размером
га. До обеда он вспахал
этого участка. Значит, до обеда фермер вспахал:

При выполнении умножения смешанное число преобразуем в неправильную дробь. Чтобы преобразовать смешанное число в неправильную дробь, надо целую часть числа умножить на знаменатель дробной части и к полученному произведению прибавить числитель дробной части; эту сумму записать как числитель неправильной дроби, а в ее знаменатель записать знаменатель дробной части смешанного числа. Также учитываем то, что произведение взаимно обратных чисел равно единице ( обратным числу
является число
).
Вернуться к содержанию учебника