Номер 607 - ГДЗ Алгебра 8 класс. Мерзляк, Полонский. Учебник. Страница 149

Вернуться к содержанию учебника

Упражнения §18. Страница 149

604 605 606 607 608 609 610

Вопрос

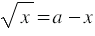
Сколько корней имеет уравнение в зависимости от значения ?

Подсказка

Ответ


Вернуться к содержанию учебника