Номер 575 - ГДЗ Алгебра 8 класс. Мерзляк, Полонский. Учебник. Страница 143

Вернуться к содержанию учебника

Упражнения §17. Страница 143

572 573 574 575 576 577 578

Вопрос

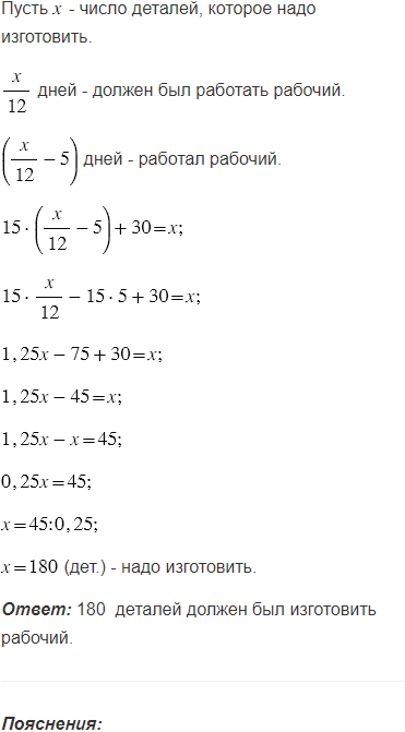
Рабочий должен был изготовить ежедневно по 12 деталей. Однако он изготовлял ежедневно по 15 деталей, и уже за 5 дней до окончания срока работы ему осталось изготовить 30 деталей. Сколько деталей должен был изготовить рабочий?

Подсказка

Ответ


Вернуться к содержанию учебника