Номер 563 - ГДЗ Алгебра 8 класс. Мерзляк, Полонский. Учебник. Страница 142

Вернуться к содержанию учебника

Упражнения §17. Страница 142

560 561 562 563 564 565 566

Вопрос

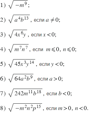
Вынесите множитель из-под знака корня:

Подсказка

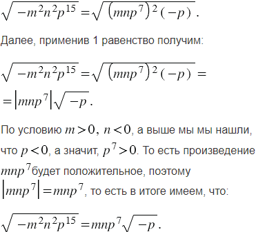
Ответ


Вернуться к содержанию учебника