Номер 557 - ГДЗ Алгебра 8 класс. Мерзляк, Полонский. Учебник. Страница 141

Вернуться к содержанию учебника

Упражнения §17. Страница 141

554 555 556 557 558 559 560

Вопрос

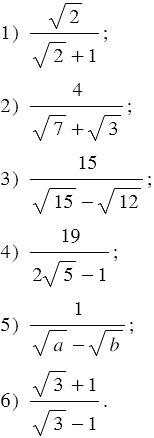
Освободитесь от иррациональности в знаменателе дроби:

Подсказка

Ответ


Вернуться к содержанию учебника