Вернуться к содержанию учебника
Упражнения §17. Страница 138
539 540 541 542 543 544 545 546 547 548 549
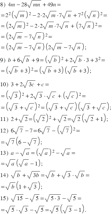
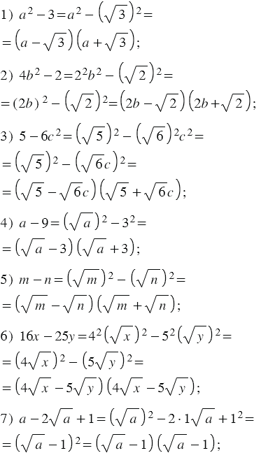
Разложите на множители выражение:
Вспомните: