Номер 1192 - ГДЗ Алгебра 7 класс. Мерзляк, Полонский. Учебник. Страница 231

Вернуться к содержанию учебника

Страница 231

1189 1190 1191 1192 1193 1194 1195

Вопрос

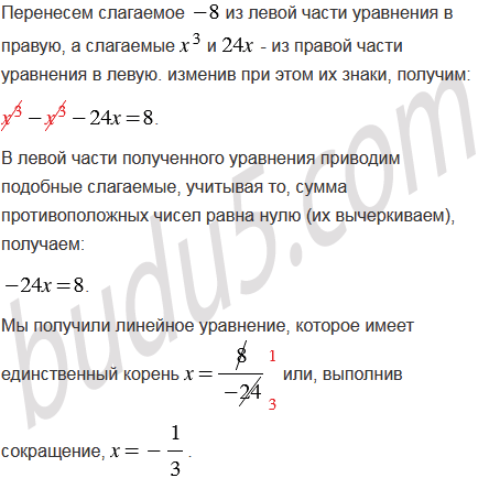
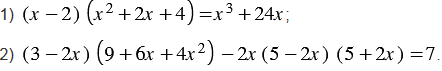
Решите уравнение:

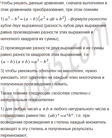
Подсказка

Ответ


Вернуться к содержанию учебника