Номер 1010 - ГДЗ Алгебра 7 класс. Мерзляк, Полонский. Учебник. Страница 200

Вернуться к содержанию учебника

Страница 200

1007 1008 1009 1010 1011 1012 1013

Вопрос

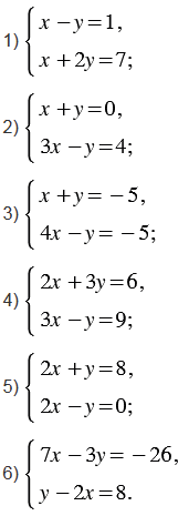
Решите графически систему уравнений:

Подсказка

Вспомните:

  1. Графический метод решения системы двух линейных уравнений с двумя переменными.
  2. Линейное уравнение с двумя переменными и его график.
  3. Как определить координаты точки на координатной плоскости.
  4. Свойства уравнений.
  5. Линейная функция и ее график.
  6. Сложение рациональных чисел.
  7. Вычитание рациональных чисел.
  8. Умножение рациональных чисел.

Ответ


Вернуться к содержанию учебника