Номер 841 - ГДЗ Алгебра 7 класс. Мерзляк, Полонский. Учебник. Страница 161

Вернуться к содержанию учебника

Страница 161

838 839 840 841 842 843 844

Вопрос

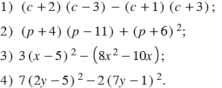
Упростите выражение:

Подсказка

Ответ


Вернуться к содержанию учебника