Номер 785 - ГДЗ Алгебра 7 класс. Мерзляк, Полонский. Учебник. Страница 146

Вернуться к содержанию учебника

Страница 146

782 783 784 785 786 787 788

Вопрос

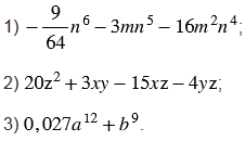
Разложите на множители выражение:

Подсказка

Ответ


Вернуться к содержанию учебника