Номер 7. Задание "Проверь себя" №5 - ГДЗ Алгебра 7 класс. Мерзляк, Полонский. Учебник. Страница 129

Вернуться к содержанию учебника

Задание "Проверь себя" №5. Страница 129

4 5 6 7 8 9 10

Вопрос

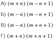
Разложите на множители выражение .

Подсказка

Ответ

4 5 6 7 8 9 10


Вернуться к содержанию учебника