Номер 729 - ГДЗ Алгебра 7 класс. Мерзляк, Полонский. Учебник. Страница 126

Вернуться к содержанию учебника

Страница 126

726 727 728 729 730 731 732

Вопрос

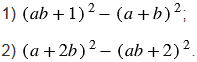
Разложите выражение на множители двумя способами:

а) примените формулу разности квадратов;

б) раскройте скобки и примените метод группировки:

Подсказка

Ответ


Вернуться к содержанию учебника