Номер 717 - ГДЗ Алгебра 7 класс. Мерзляк, Полонский. Учебник. Страница 124

Вернуться к содержанию учебника

Страница 124

714 715 716 717 718 719 720

Вопрос

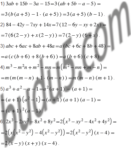
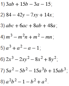
Представьте в виде произведения многочлен:

Подсказка

Ответ


Вернуться к содержанию учебника