Номер 668 - ГДЗ Алгебра 7 класс. Мерзляк, Полонский. Учебник. Страница 115

Вернуться к содержанию учебника

Страница 115

665 666 667 668 669 670 671

Вопрос

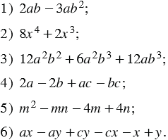
Разложите на множители:

Подсказка

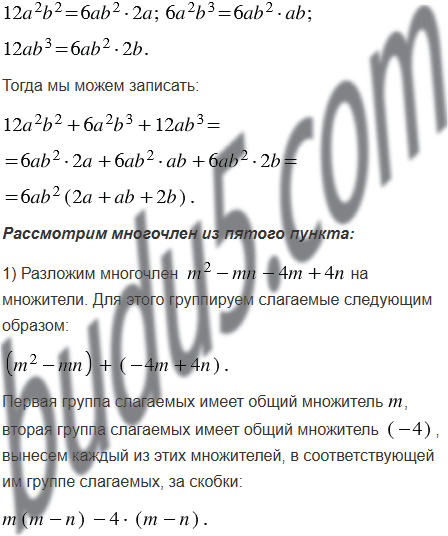
Ответ


Вернуться к содержанию учебника