Номер 656 - ГДЗ Алгебра 7 класс. Мерзляк, Полонский. Учебник. Страница 114

Вернуться к содержанию учебника

Страница 114

653 654 655 656 657 658 659

Вопрос

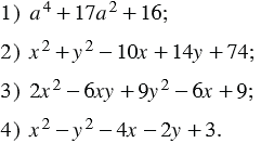
Представьте многочлен в виде суммы или разности квадратов двух выражений:

Подсказка

Ответ


Вернуться к содержанию учебника