Номер 634 - ГДЗ Алгебра 7 класс. Мерзляк, Полонский. Учебник. Страница 112

Вернуться к содержанию учебника

Страница 112

631 632 633 634 635 636 637

Вопрос

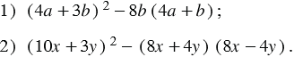
Представьте в виде квадрата двучлена выражение:

Подсказка

Ответ


Вернуться к содержанию учебника