Номер 530 - ГДЗ Алгебра 7 класс. Мерзляк, Полонский. Учебник. Страница 96

Вернуться к содержанию учебника

Страница 96

527 528 529 530 531 532 533

Вопрос

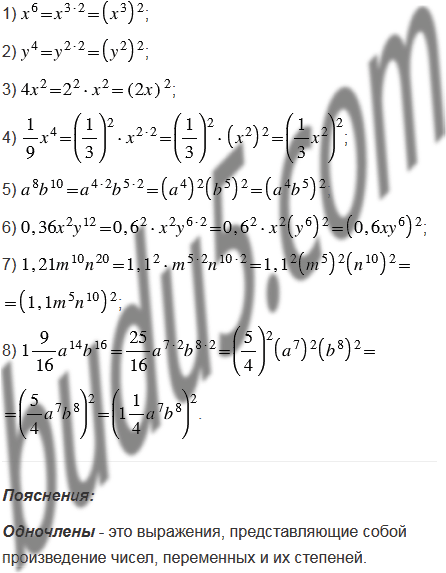
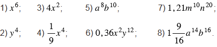
Представьте данное выражение в виде квадрата одночлена:

Подсказка

Ответ


Вернуться к содержанию учебника