Номер 516 - ГДЗ Алгебра 7 класс. Мерзляк, Полонский. Учебник. Страница 95

Вернуться к содержанию учебника

Страница 95

513 514 515 516 517 518 519

Вопрос

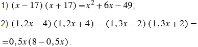
Решите уравнение:

Подсказка

Ответ


Вернуться к содержанию учебника