Номер 374 - ГДЗ Алгебра 7 класс. Мерзляк, Полонский. Учебник. Страница 72

Вернуться к содержанию учебника

Страница 72

371 372 373 374 375 376 377

Вопрос

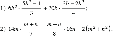
Упростите выражение:

Подсказка

Ответ


Вернуться к содержанию учебника