Вернуться к содержанию учебника
Страница 64
318 319 320 321 322 323 324 325 326 327 328
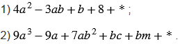
Вместо звездочки запишите такой многочлен, чтобы после приведения подобных членов полученный многочлен не содержал переменной :
Вспомните: