Номер 315 - ГДЗ Алгебра 7 класс. Мерзляк, Полонский. Учебник. Страница 64

Вернуться к содержанию учебника

Страница 64

312 313 314 315 316 317 318

Вопрос

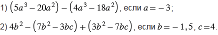
Найдите значение выражения:

Подсказка

Вспомните:

  1. Числовые и буквенные выражения.
  2. Правила раскрытия скобок, подобные слагаемые.
  3. Противоположные числа.
  4. Правила сложения рациональных чисел.
  5. Правило вычитания рациональных чисел.
  6. Модуль числа.
  7. Степень числа с натуральным показателем.
  8. Правила умножения рациональных чисел.
  9. Четные и нечетные числа.
  10. Умножение десятичных дробей.

Ответ


Вернуться к содержанию учебника