Номер 2. Вопросы § 2 - ГДЗ Алгебра 7 класс. Мерзляк, Полонский. Учебник. Страница 15

Вернуться к содержанию учебника

Вопросы § 2. Страница 15

2 3 1 2 1 2 3

Вопрос

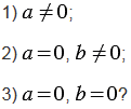
Сколько корней имеет линейное уравнение , если:

Подсказка

Вспомните:

  1. Что такое корень уравнения.
  2. Сколько корней может иметь линейное уравнение с одной переменной.

Ответ

2 3 1 2 1 2 3


Вернуться к содержанию учебника