Номер 1010 - ГДЗ Математика 6 класс. Мерзляк, Полонский. Учебник. Страница 215

Вернуться к содержанию учебника

Страница 215

1007 1008 1009 1010 1011 1012 1013

Вопрос

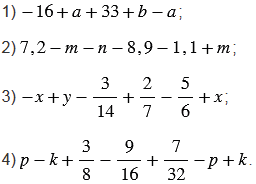
Упростите выражение:

Подсказка

Вспомните:

  1. Какие числа называют противоположными.
  2. Правила вычитания рациональных чисел.
  3. Правила сложения рациональных чисел.
  4. Что называют модулем числа.
  5. Сложение и вычитание десятичных дробей.
  6. Сравнение десятичных дробей.
  7. Сложение и вычитание обыкновенных дробей с разными знаменателями.
  8. Приведение дробей к общему знаменателю.
  9. Сложение и вычитание обыкновенных дробей с одинаковыми знаменателями.
  10. Сравнение обыкновенных дробей.
  11. Сокращение дробей.

Ответ


Вернуться к содержанию учебника