Номер 791 - ГДЗ Математика 5 класс. Мерзляк, Полонский. Учебник. Страница 200

Вернуться к содержанию учебника

Страница 200

788 789 790 791 792 793 794

Вопрос

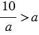
При каких натуральных значениях является верным неравенство , левая часть которого - неправильная дробь?


Для более ранних редакций смотри задачу 789.

Подсказка

Вспомните:

  1. Что такое дробь.
  2. Какая дробь называется неправильной.
  3. Сравнение дробей.

Ответ


Вернуться к содержанию учебника